搜索
产品分类
全部分类
产品详情
产品描述
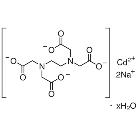
| 别名 | 乙二胺四乙酸二钠镉 水合物 |
|
||
| 英文名 | Cadmium Disodium Ethylenediaminetetraacetate Hydrat | |||
| CAS号 | 35803-35-1 | 熔点 | ||
| 分子式 | C10H12CdN2Na2O8·xH2O | 闪点 | ||
| 分子量 | 446.60 | 密度 | ||
| MDL号 | 储存条件 | |||
基本信息
本网站销售的所有产品仅用于工业应用或者科学研究等非医疗目的,不可用于人类或动物的临床诊断或者治疗,非药用,非食用。
